Toucan Bird

Alpha Spin Et Cancer

10 Amazing Alphaspin And Alphameta Results Ideas Miracle Gel Wellness Store Stress Free Lifestyle
id.pinterest.com

Alpha Meta Alpha Spin Nigeria Facebook
www.facebook.com

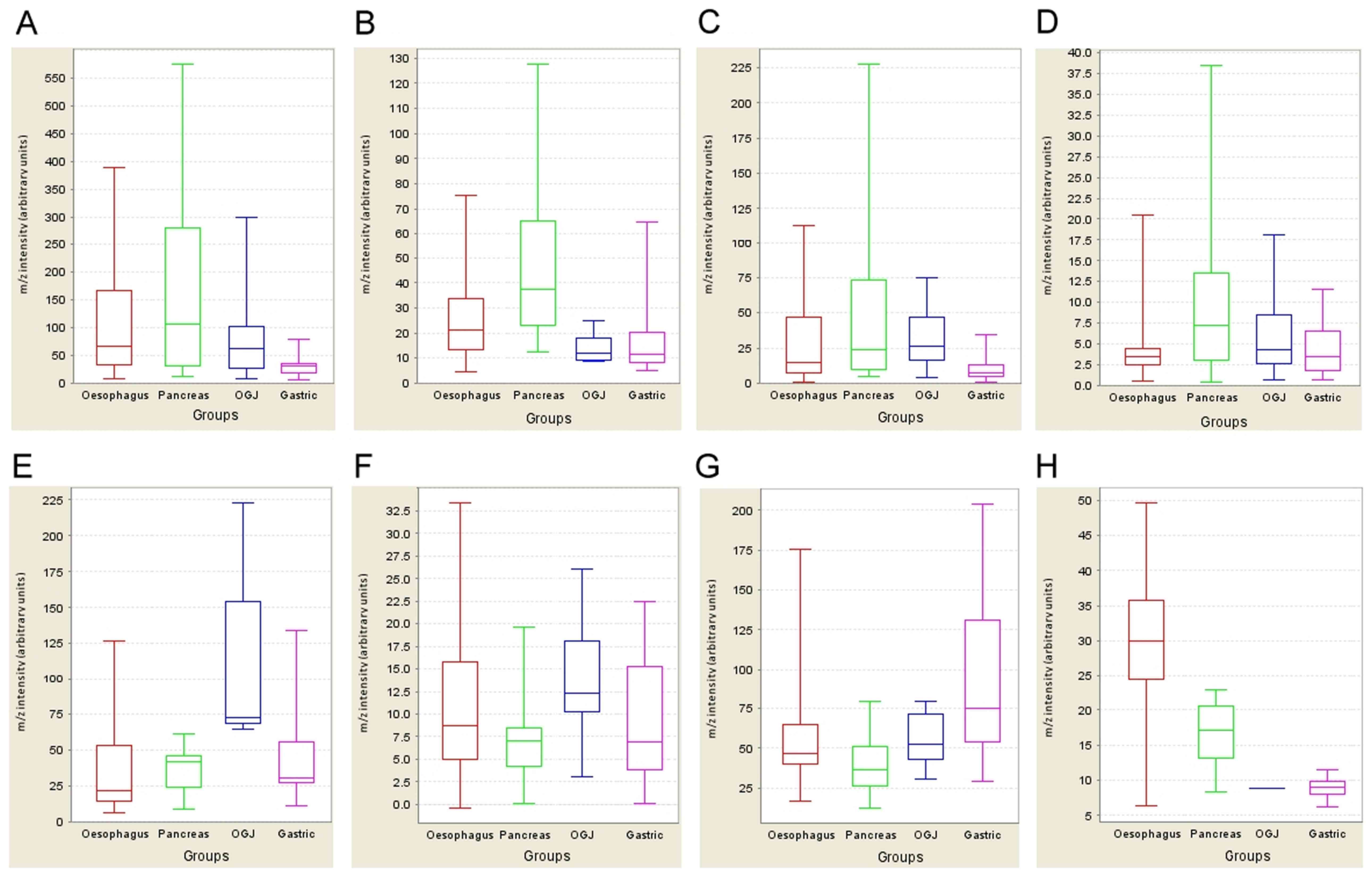
Cancers Free Full Text Comparative Molecular Analysis Of Cancer Behavior Cultured In Vitro In Vivo And Ex Vivo Html
www.mdpi.com

The Microbiome In Pten Hamartoma Tumor Syndrome In Endocrine Related Cancer Volume 25 Issue 3 2018
erc.bioscientifica.com

Alphaspin French Youtube Youtube
www.youtube.com

Thermography In Animal Models Of Cancer Veterian Key
veteriankey.com

Nita breast cancer survivor shares her experience with alpha spin alpha meta english sub.

Alpha spin et cancer. Alpha spin est un puissant instrument qui produit une forte resonance magnetique capable de transferer lenergie de maniere a creer un environnement bio et e. Les proprietes de alpha spin ont donc ete reconnu pour generer un espace 100 bio. Cest a dire depourvue des ondes nocives augmenter la fluidite des liquidesharmoniser les frequences du.

Le alpha spin cree un champ quantique naturel et nous permet donc davoir ce village bama amovibledonc deplacable partout ou on se trouve. Cest a dire depourvue des ondes nocives augmenter la fluidite des liquidesharmoniser les frequences du.

Frontiers Immunomodulatory Properties Of Coriolus Versicolor The Role Of Polysaccharopeptide Immunology
www.frontiersin.org

Molecular Therapy Of Cancer Biocev
www.biocev.eu

Base Of The Skull Metastases In Metastatic Castration Resistant Prostate Cancer
www.cancernetwork.com

The Benefits Of Alpha Spin And Alpha Meta Health Nigeria
www.nairaland.com

Spin For Steven Pi Kappa Alpha
www.louisvillepikes.org

Landscape Of Infiltrating T Cells In Liver Cancer Revealed By Single Cell Sequencing Sciencedirect
www.sciencedirect.com

Ten Most Common Cancers Among Men In Cameroon Including Prostate Download Scientific Diagram
www.researchgate.net

Alpha Spin Llama Ya
www.edisongerman.com

Alpha Particle Wikipedia
en.wikipedia.org

Identification Of Diagnostic Upper Gastrointestinal Cancer Tissue Type Specific Urinary Biomarkers
www.spandidos-publications.com

Cervical Infection With Cutaneous Beta And Mucosal Alpha Papillomaviruses Cancer Epidemiology Biomarkers Prevention
cebp.aacrjournals.org

Amazon Com Jm Alphameta A High Nutritional Meal Replacement The Best Choice For Health And Vitality Of You And Your Family 1 Bottle Pet Supplies
www.amazon.com

Bio Disc Alpha Spin Qu Est Ce Que L Alpha Spin L Homme D Affaire Du 21eme Siecle
21th-century-businessman-com.over-blog.com

Dl Alpha Tocopherol C29h50o2 Pubchem
pubchem.ncbi.nlm.nih.gov

Cancer Associated Fibroblasts An Introductory Guide Bio Rad
www.bio-rad-antibodies.com

Gale Academic Onefile Document Extracellular Vesicles And Their Potential Use In Monitoring Cancer Progression And Therapy The Contribution Of Proteomics
go.gale.com

Alpha Spin Alpha Meta Breast Cancer Inquiries 63917 5649247 63917 5649534 Youtube
www.youtube.com

Angel Secret Alpha Meta Alpha Spin Posts Facebook
www.facebook.com

Radiotherapy And Breast Cancer Nanomedicine Book Chapter Iopscience
iopscience.iop.org

10 Amazing Alphaspin And Alphameta Results Ideas Miracle Gel Wellness Store Stress Free Lifestyle
id.pinterest.com

Alpha Spin And Alphameta Testimony 2015
alphaspin-testimony.blogspot.com

Bio Disc Alpha Spin Qu Est Ce Que L Alpha Spin L Homme D Affaire Du 21eme Siecle
21th-century-businessman-com.over-blog.com

Molecular Therapy Of Cancer Biocev
www.biocev.eu

34th Annual Meeting Pre Conference Programs Of The Society For Immunotherapy Of Cancer Sitc 2019 Part 1 Journal For Immunotherapy Of Cancer Full Text
jitc.biomedcentral.com

The Complex Interplay Between Antioxidants And Ros In Cancer Trends In Cell Biology
www.cell.com

Alpha Spin Alpha Meta Testimony Nita Breast Cancer Survivor Share Experience With Alphaspin Alph Youtube
www.youtube.com

Cancer Related Cognitive Impairment An Update On State Of The Art Detection And Management Strategies In Cancer Survivors Annals Of Oncology
www.annalsofoncology.org

Produits Extraordinaires Pour Le Bien Etre Boubabienetre
boubabienetre.wordpress.com

Il6 Stat3 Signaling Hijacks Estrogen Receptor A Enhancers To Drive Breast Cancer Metastasis Sciencedirect
www.sciencedirect.com

Alpha Spin Alpha Meta Cameroon Home Facebook
www.facebook.com

Mesenchymal Stromal Cell Activation By Breast Cancer Secretomes In Bioengineered 3d Microenvironments Life Science Alliance
www.life-science-alliance.org

Frontiers Omental Tissue Mediated Tumorigenesis Of Gastric Cancer Peritoneal Metastases Oncology
www.frontiersin.org

Bio Disc Alpha Spin Qu Est Ce Que L Alpha Spin L Homme D Affaire Du 21eme Siecle
21th-century-businessman-com.over-blog.com

Turning Tumor Cells Against Cancer The Scientist Magazine
www.the-scientist.com

Prevention Of Dsrna Induced Interferon Signaling By Ago1x Is Linked To Breast Cancer Cell Proliferation The Embo Journal
www.embopress.org

Alpha Spin Les Nouvelles Fraiches De Stella
newsofstella.blog4ever.com

Produits Extraordinaires Pour Le Bien Etre Boubabienetre
boubabienetre.wordpress.com

Nantkwest Still Going For A Cancer Moonshot Nasdaq Nk Seeking Alpha
seekingalpha.com

Se Proteger De Ces Tueurs Silencieux Alpha Spin Boubabienetre
boubabienetre.wordpress.com

A Preclinical Mouse Model Of Osteosarcoma To Define The Extracellular Vesicle Mediated Communication Between Tumor And Mesenchymal Stem Cells Protocol
www.jove.com

The Five W S And How Of Targeted Alpha Therapy Why Who What Where When And How Springerlink
link.springer.com

How Butterfly Effect Or Deterministic Chaos Theory In Theoretical Rhy
www.slideshare.net

Cancer Iron Hif The Vitamin C Connection Part 2 Evolutamente It
www.evolutamente.it

Full Article Surface Engineering And Applications Of Nanodiamonds In Cancer Treatment And Imaging
www.tandfonline.com

Aberrant Glycosylation Patterns On Cancer Cells Therapeutic Opportunities For Glycodendrimers Metallodendrimers Oncology Moffett Wires Nanomedicine And Nanobiotechnology Wiley Online Library
onlinelibrary.wiley.com

Cancer Associated Fibroblasts An Introductory Guide Bio Rad
www.bio-rad-antibodies.com

Identification Of Diagnostic Upper Gastrointestinal Cancer Tissue Type Specific Urinary Biomarkers
www.spandidos-publications.com

The Long Non Coding Rna I Cancer Susceptibility 15 I I Casc15 I Is Induced By Isocitrate Dehydrogenase Idh Mutations And Maintains An Immature Phenotype In Adult Acute Myeloid Leukemia Haematologica
haematologica.org

Gold Alpha Lactalbumin Nanoprobes For The Imaging And Treatment Of Breast Cancer Nature Biomedical Engineering
www.nature.com

10 Amazing Alphaspin And Alphameta Results Ideas Miracle Gel Wellness Store Stress Free Lifestyle
id.pinterest.com

1h Nmr Studies Distinguish The Water Soluble Metabolomic Profiles Of Untransformed And Ras Transformed Cells Peerj
peerj.com

Multifunctional Decoration Of Alpha Tocopheryl Succinate Based Np For Cancer Treatment Effect Of Tpp And Ltvspwy Peptide Springerlink
link.springer.com

Targeting Strategies For Multifunctional Nanoparticles In Cancer Imaging And Therapy Abstract Europe Pmc
europepmc.org

Feed Forward Alpha Particle Radiotherapy Ablates Androgen Receptor Addicted Prostate Cancer Nature Communications
www.nature.com

Alpha Spin And Alphameta Testimony Skin Cancer
alphaspin-testimony.blogspot.com

Interferon A Promotes The Expression Of Cancer Stem Cell Markers In Oral Squamous Cell Carcinoma
www.jcancer.org

Differential Aspartate Usage Identifies A Subset Of Cancer Cells Particularly Dependent On Ogdh Sciencedirect
www.sciencedirect.com

Comparative Proteomic Analysis Of Different Stages Of Breast Cancer Tissues Using Ultra High Performance Liquid Chromatography Tandem Mass Spectrometer
journals.plos.org

Alphaspin Application How To Use Alphaspin High Technology From German Alphaspin Application How To Use Alphaspin
alphaspin-application.blogspot.com

Alpha Spin Pour Votre Bien Etre Academie Du Bien Etre Ffg J M International Facebook
www.facebook.com

Feed Forward Alpha Particle Radiotherapy Ablates Androgen Receptor Addicted Prostate Cancer Nature Communications
www.nature.com

Neutron Scattering In The Proximate Quantum Spin Liquid A Rucl3 Science
science.sciencemag.org

10 Amazing Alphaspin And Alphameta Results Ideas Miracle Gel Wellness Store Stress Free Lifestyle
id.pinterest.com

Pdf The Characterization Of Tumor Necrosis Factor Alpha Tnf A Its Role In Cancerogenesis And Cardiovascular System Diseases And Possibilities Of Using This Cytokine As A Molecular Marker
www.researchgate.net

Cancers Free Full Text Krebs Cycle Intermediate Modified Carbonate Apatite Nanoparticles Drastically Reduce Mouse Tumor Burden And Toxicity By Restricting Broad Tissue Distribution Of Anticancer Drugs Html
www.mdpi.com

Alpha Spin And Alphameta Testimony 2015
alphaspin-testimony.blogspot.com

Alpha Spin Alpha Meta Cameroon Home Facebook
www.facebook.com

Bio Disc Alpha Spin Qu Est Ce Que L Alpha Spin L Homme D Affaire Du 21eme Siecle
21th-century-businessman-com.over-blog.com

Alpha Particle Wikipedia
en.wikipedia.org

Se Proteger De Ces Tueurs Silencieux Alpha Spin Boubabienetre
boubabienetre.wordpress.com

Alphaspin Application How To Use Alphaspin High Technology From German Alphaspin Application How To Use Alphaspin
alphaspin-application.blogspot.com

Inflammation And Cancer Book Chapter Iopscience
iopscience.iop.org

Bio Disc Alpha Spin Qu Est Ce Que L Alpha Spin L Homme D Affaire Du 21eme Siecle
21th-century-businessman-com.over-blog.com

Alpha Spin Les Nouvelles Fraiches De Stella
newsofstella.blog4ever.com

Self Maintaining Cd103 Cancer Specific T Cells Are Highly Energetic With Rapid Cytotoxic And Effector Responses Cancer Immunology Research
cancerimmunolres.aacrjournals.org

Photodynamic Therapy Regulates Fate Of Cancer Stem Cells Through Reactive Oxygen Species
www.wjgnet.com

Investigation Of The Production Of Medical Ir 192 Used In Cancer Therapy Via Particle Accelerator Intechopen
www.intechopen.com

Dr Joe Schwarcz On The Questionable Miracle Of The Alpha Spin Youtube
www.youtube.com

The Versatile Biomedical Applications Of Bismuth Based Nanoparticles And Composites Therapeutic Diagnostic Biosensing And Regenerative Properties Chemical Society Reviews Rsc Publishing Doi 10 1039 C9cs00283a
pubs.rsc.org

The Glutathione Peroxidase 8 Gpx8 Il 6 Stat3 Axis Is Essential In Maintaining An Aggressive Breast Cancer Phenotype Pnas
www.pnas.org

Re Education Of Tumor Associated Macrophages By Cxcr2 Blockade Drives Senescence And Tumor Inhibition In Advanced Prostate Cancer Sciencedirect
www.sciencedirect.com

Se Proteger De Ces Tueurs Silencieux Alpha Spin Boubabienetre
boubabienetre.wordpress.com

Precision Glycocalyx Editing As A Strategy For Cancer Immunotherapy Pnas
www.pnas.org

Dual Src Kinase Pretubulin Inhibitor Kx 01 Sensitizes Era Negative Breast Cancers To Tamoxifen Through Era Reexpression Molecular Cancer Research
mcr.aacrjournals.org

Evaluation Of Integrin Avb 6 Cystine Knot Pet Tracers To Detect Cancer And Idiopathic Pulmonary Fibrosis Nature Communications
www.nature.com

The Long Non Coding Rna I Cancer Susceptibility 15 I I Casc15 I Is Induced By Isocitrate Dehydrogenase Idh Mutations And Maintains An Immature Phenotype In Adult Acute Myeloid Leukemia Haematologica
haematologica.org

Jm Ocean Avenue Club 2020
www.beautynailhairsalons.com

Magnetic Nanoparticles In Cancer Therapy And Diagnosis Farzin 2020 Advanced Healthcare Materials Wiley Online Library
onlinelibrary.wiley.com

Human Sdf1 Alpha Elisa Kit Ab100637 Abcam
www.abcam.com

Interferon A Promotes The Expression Of Cancer Stem Cell Markers In Oral Squamous Cell Carcinoma
www.jcancer.org

A Single Clonal Lineage Of Transmissible Cancer Identified In Two Marine Mussel Species In South America And Europe Elife
elifesciences.org

Alpha Tea And Concurrent Trastuzumab Under Exploration In Refractory Her2 Breast Cancer Let Life Happen
www.letlifehappen.com

Alpha Spin Llama Ya
www.edisongerman.com

Alpha Spin Senegal Photos Facebook
www.facebook.com

close